馬可夫決策過程(Markov Decision Process, MDP)為強化學習(Reinforcement Learning, RL)中所有策略評估(policy evaluation)與策略改善(policy improvement)方法提供了嚴謹的數學框架。藉由 MDP,我們得以形式化地描述代理人(agent)與環境(environment)之間的互動,也能在回報(return)的觀點下定義策略的價值。
Table of Contents
馬可夫決策過程(Markov Decision Process, MDP)
馬可夫決策過程(Markov Decision Process, MDP)是在結果具有不確定性時,用於序列決策的模型。MDP 起源於 1950 年代的作業研究領域,此後在多個領域獲得重視。其名稱源於與馬可夫鏈(Markov chains)之間的關聯,而 Markov chains 是由俄國數學家 Andrey Markov 所提出。
MDP 是強化學習(Reinforcement Learning, RL)的正式數學模型。它是從交互作用中學習以實現目標的一個簡單框架。這個交互作用(interactions)是指代理人(agent)與環境(environment)之間的交互作用,如下圖。
Agent 和 environment 在一系列的時步(time steps),,進行 interaction。在每個 time step
,agent 會接收到來自環境的狀態(state),
,的一些表徵(representation)。在這基礎上,agent 會選擇一個動作(action),
。在下一個 time step
,agent 會從 environment 收到一個獎勵(reward),
,並同時發現自己處在一個新的狀態
。

因此,MDP 和 agent 會一起產生一個軌跡(trajectory),如下。
完整的 MDP 由五個元素構成:
狀態空間(State Space)
狀態空間(State space)記作 。在每個 time step
,agent 位於某個state
。當下的 state
是 agent 在 time step
所能觀察的資訊,用來決定下一個 action
。因此,state
必須包括有關過去 agent 與 environment 互動的所有可能對未來有影響的資訊。若符合此條件,則表示該 state 具有馬可夫性質(Markov Property):
這也就是說,當 agent 在 state 時,它可以丟棄以前的 states 和 actions,(
)。未來只取決於現在,不取決於過去。
動作空間(Action Space)
動作空間(Action space)記作 。每個 state
可選的動作集合記作
。
狀態轉移機率(State-Transition Probabilities)
在 state 下選擇 action
後,會有數個可轉移的 states,這會由狀態轉移機率(State-Transition Probabilities)
來決定下一個 state
。
獎勵(Reward)
獎勵(Reward)記作 。Reward 是即時回饋的。Reward
發生在從 state
選擇 action
後,轉移至 state
的過程中。
折扣因子(Discount Factor)
折扣因子(Discount factor)記作 。它是用來衡量未來 reward 的價值。當
時,表示只重視當下的 reward;當
時,表示未來的 reward 與現在的 reward 同等重要。
回報(Returns)和分節(Episodes)
Agent 的目標,從長遠來看是最大化累積的 reward,也就是最大化在 time step 之後能接受到的 reward。我們稱為最大化預期回報(expected return)。在 time step
的 return 記作
。在最簡單的情況下,return 是 reward 的總和:
其中 為最後一個 time step。
當 agent 和 environment 的 interaction 可以自然地被劃分為子序列時,我們將這樣的子序列稱為分節(episodes)。每個 episode 以一個稱為終端狀態(terminal state)的特殊狀態結束。每個 episode 與上一個 episode 是無關的。這種任務被稱為分節式任務(episodic tasks),如一局遊戲。
當 agent 和 environment 的 interaction 無法被自然地劃分為 episodes,而是不斷地持續進行時,這種任務被稱為連續性任務(continuing tasks),如生命週期相當長的機器人應用。因此,在 的公式裡,最後的 time step 將是
。當我們試圖最大化 return 時,
很輕易地成為無窮大。
我們可以使用折扣(discounting)來解決這個問題。Agent 將最大化預期折扣回報(expected discounted return):
其中 為折扣因子(discounting factor)。
連續時步(Successive time steps)的 return 是相互關聯,這對 RL 的理論和演算法很重要:
雖然 discounted return 是由無窮多項組成,但如果 reward 是非零常數,且 ,則 return 仍是有限的值。例如,如果 reward 是
,則 return 為:
策略(Policy)
每個 state 是使用策略(policy)來從動作集合
中,選擇 action
。Policy 記作
。正式地說,policy 是一個從 state 對可選的 actions 的機率分佈。
在 time step 時,當 agent 處於 state
,依據 policy
選擇 action
的機率為:
Policy 可以是決定性策略(deterministic policy)。也就是 policy 永遠只會選擇某一個 action。
Policy 也可以是隨機性策略(stochastic policy),則每個 action 都有被選中的機率。
價值函數(Value Function)
價值函數(Value function)是一個對 policy 的評估。評估,在 policy 下,評估未來能獲得的 expected return 是多少。
狀態價值函數(State-Value Function)
在 policy 下,從 state
開始,評估未來能獲得的 expected return 是多少?這個稱為 policy
的狀態價值函數(state-value function),記作
。
動作價值函數(Action-Value Function)
在 policy 下,在 state
下並選擇 action
開始,評估未來能獲得的 expected return 是多少?這個稱為 policy
的動作價值函數(action-value function),記作
,也因此又被稱為 q-function。
狀態價值函數(State-Value Function)和動作價值函數(Action-Value Function)之間的關係
State-value function 和 action-value function
之間的關係貫穿了整個 RL。因此,這小節中的公式將會在 RL 中一直被提及。
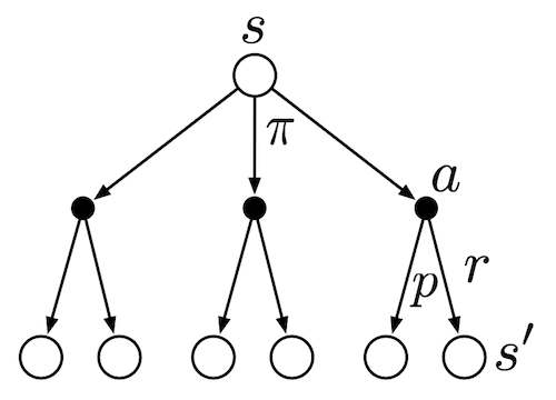
以下是 的 backup diagram,其中空心圓是 states,而實心圓是 actions。這張圖總括我們至目前為止談論到的元素。在 state
下,依據 policy
來選擇 action
。然後,依據 state-transition dynamics
決定下一個 state
並且產生一個 reward
給 state
。

首先,我們來看 state-value function 對 action-value function 的關係。在一個給定的 state 下,
是對所有可能 action
的加權期望,而其加權的權重由 policy
所決定。換言之,state-value function 可以視為 action-value function 的期望值。
接下來,我們來看 action-value function 對 state-value function 的遞迴關係。在 state 下選擇 action
後,
是對所有可能的下一個 state
與對應即時 reward
的加權期望,而其加權的權重由 state-transition probabilities
所決定。對每一個可能的
,我們累加即時 reward
與折扣後的未來價值
。因此,action-value function 等於即時 reward 加上折扣後的 state-value function 的期望值。
貝爾曼期望方程(Bellman Expectation Equation)
貝爾曼方程(Bellman Equation),以 Richard E. Bellman 之名命名,是動態規劃(Dynamic Programming)中的一項技術。Bellman 所提出的最適性原則(principle of optimality)是指,一個最佳化問題可以被拆解為一個由子問題組成的遞迴結構。任何一個狀態的價值,都可以表達為某些初始選擇所帶來的即時報酬,加上因這些選擇所導致的後續子問題的價值。
因此,Bellman equation 的基本思想是,一個 state 的 value 可以表達為下一步的 reward 加上下一個 state 的 value 的期望值。
狀態價值函數(State-Value Function)的貝爾曼期望方程(Bellman Expectation Equation)
在 policy 下,state-value function
可以寫成如下的遞迴形式:
這個方程描述,在 state 下,
是對所有可能 action
的加權期望,而加權方式由
所決定。每個 action
的價值又是其可能的下一個 state
與 reward
所帶來的即時報酬,以及折扣後的未來價值的期望。因此,我們稱此為貝爾曼期望方程(Bellman Expectation Equation)。
動作價值函數(Action-Value Function)的貝爾曼期望方程(Bellman Expectation Equation)
對 action-value function 進行同樣的遞迴推導,可以得到:
這的方程描述,在 state 下採取 action
的價值,是即時 reward
與折扣後未來 state-value 的加權期望,而加權方式由 environment 的 transition probabilities
所決定。
最佳策略(Optimal Policy)
解決 RL 任務是指,發現一個能長期獲得大量 reward 的 policy。對於 finite MDP,我們可以精確地定義一個最佳策略(optimal policy)。Value functions 對策略定義一個部分排序。若在所有的 states 下,一個 policy 的 expected return 都大於或等於另一個 policy
,則policy
被定義為比 policy
較好或一樣好。
總是至少有一個 policy 優於或等於所有其他 policies。這就是一個 optimal policy。雖然有可以多於一個 optimal policy,我們還是將所有的 optimal policies 記作 。
這些 optimal policies 有相同的 state-value function,稱為最佳狀態價值函數(optimal state-value function),記作 。
它們也有相同的 action-value function,稱為最佳動作價值函數(optimal action-value function),記作 。
貝爾曼最佳方程(Bellman Optimality Equation)
最佳狀態價值函數(Optimal State-Value Function)的貝爾曼最佳方程(Bellman Optimality Equation)
在 optimal policy 下,optimal state-value function
可以寫成如下的遞迴形式:
其中 表示,在每個 state 中,都挑選能使價值最大化的 action,這反映 optimal policy 的本質。這就是
的貝爾曼最佳方程(Bellman Optimality Equation)。
最佳動作價值函數(Optimal Action-Value Function)的貝爾曼最佳方程(Bellman Optimality Equation)
在 optimal policy 下,optimal action-value function
可以寫成如下的遞迴形式
這就是 的 Bellman optimality equation。
結論
MDP 為 RL 中的決策問題提供了一套精確、可操作的數學描述,使我們得以定義 policies、衡量 policies 的長期表現,並進一步比較不同 policies 的優劣。後續的控制問題與最佳策略搜尋,所有方法最終都可追溯至 MDP 中的這一組核心定義。
參考
- Adam White and Martha White. Reinforcement Learning Specialization. University of Alberta and Coursera.
- Richard S. Sutton and Andrew G. Barto. 2020. Reinforcement Learning: An Introduction, 2nd. The MIT Press.









